Blog posts

Estimation techniques: Ordinary least squares and maximum likelihood

A chapter on estimation techniques has appeared in the edited volume Regression Analysis and Causal Inference, edited by Henning Best and Christof Wolf and published by Sage. A companion website is here.

Read more ...

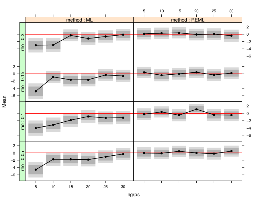
EPSA paper: Inference for multilevel models when the number of clusters is small.

In a recent article published in AJPS it is claimed that Bayesian estimators have a superior performance in the estimation of the influence of group-level covariates, especially if the number of groups/clusters is small. In the paper presented at EPSA, we show that the problems addressed by Bayesian techniques can also be adequately addressed by a frequentist technique, restricted maximum likelihood, without the problems involved in Bayesian estimation, such as the computational cost and the need to select an appropriate prior.

Read more ...

A finite mixture approach to tactical voting

A paper entitled Separating Tactical from Sincere Voting: A Finite-Mixture Discrete-Choice Modelling Approach was presented at the Annual Conference of the Midwest Political Science Association 2014 in Chicago, Ill. It presents a novel approach to uncover tactical voting from responses in electoral survey studies. The basic idea is that the distribution of observed voting decisions is a finite mixture of non-tactical (aka sincere) and tactical voting decisions, where tactical voting decisions are characterised by choosing - in stead of the full choice set - from a restricted consideration set. This restricted consideration set then contains only those alternatives (e.g. parties' candidates) that are considered viable by the voter in her respective constituency or voting district.

Read more ...

Expectation formation and tactical voting in the UK

A paper entitled Information Flows, Expectation Formation, and Tactical Voting was presented at the ECPR General Conference 2013 at the Université de Bordeaux. It examines how results in the previous election (at constituency level) and parties' current popularity (as expressed in their performance in opinion polls) influence the formation of expectations about parties' chances at the constituency level and at the national level and how these expectations affect the intention to vote tactically.

Read more ...

Average political positions of party families

A paper entitled "On the Distinctiveness of Party Families" was presented at the 2014 General Conference of the Midwest Political Science Association. In this paper I describe the average positions (and the development of these) of the party families commonly known in the comparative study of European parties. In this paper I distinguish between three major political dimensions:

The average positions of the party families can be nicely summarised by a picture (which as often, says more than scores of words):

Read more ...

Method for reconstructing political positions from political texts published in Political Analysis

A paper on "A Dynamic State-Space Model of Coded Political Texts" has been published as advance access article in Political Analysis. Accompanying this article, there is a data set with positions of parties in the economic and social policy spaces, reconstructed from Comparative Manifestos Project data using the method in the article. The data set is available from the Political Analysis dataverse. I will make a more extensive data set, suitable for multiple imputations and the like, available on my website in the near future. Here is a picture that shows what this method can do:

Read more ...

New article about electoral volatility in the Netherlands in Acta Politica

An article about "Bounded volatility in the Dutch electoral battlefield: A panel study on the structure of changing vote intentions in the Netherlands during 2006--2010" is now available for advance access from the journal Acta Politica.

Read more ...